next up previous [pdf]

Next: Conclusion Up: Wong et al.: Ocean Previous: Artifacts in Ocean-Bottom RTM

Joint Inversion of up-going and down-going ocean-bottom data

The goals of our joint inversion scheme are threefold:

  1. To migrate two of the four-component ocean-bottom data with acoustic modeling. Field data is collected as pressure ($ P $)and vertical particle velocity ($ Z$). To make use of the $ Z$ measurement, we would need to apply elastic modeling. Our proposed joint inversion scheme will avoid this difficulty.

  2. To alleviate the migration artifacts in ocean-bottom RTM caused by to its acquisition geometry.

  3. To combine up-going and down-going reflectivity solutions in a constructive way.

Flowchart2
Flowchart2
Figure 6.
This flowchart shows the relationship between multi-component pressure (P) and vertical particle velocity (Z) data, up- and down-going data, and over/under data. Reverse time migration (RTM) is performed with over/undre data and generate reflectivity in migration using a background velocity model. [NR]
[pdf] [png]

Our proposed scheme can be summarized using the flowchart in Figure 6. Field data $ d_{P}$ and $ d_Z$ can be converted into up-going and down-going data at the receiver level by applying the PZ summation operator $ \bold P$. There are many ways to implement PZ summation; one of the simplest is described in Wong et al. (2009).

$\displaystyle \left[ \begin{array}{c}
\tilde{d_{\uparrow}} \\
\tilde{d_{\downa...
...right] = \bold P \left[ \begin{array}{c}
d_{P} \\
d_{Z}
\end{array} \right].
$

Next, up- and down-going data can be converted into over- and under- data using the adjoint of the separation operator $ \bold S$:

$\displaystyle \left[ \begin{array}{c}
\tilde{d_{o}} \\
\tilde{d_{u}}
\end{arra...
...rray}{c}
\tilde{d_{\uparrow}} \\
\tilde{d_{\downarrow}}
\end{array} \right].
$

RTM is performed using over and under data via the RTM operator, denoted as $ \bold F'$:

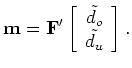
$\displaystyle \bold m = \bold F' \left[ \begin{array}{c}
\tilde{d_{o}} \\
\tilde{d_{u}}
\end{array} \right].
$

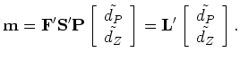
Since all three operators are linear, we can do acoustic RTM on $ d_P$ and $ d_Z$ by applying a cascade of these operators, denoted as $ \bold L'$:

$\displaystyle \bold m = \bold F' \bold S' \bold P \left[ \begin{array}{c}
\tild...
... \left[ \begin{array}{c}
\tilde{d_{P}} \\
\tilde{d_{Z}}
\end{array} \right].
$

We claim that by applying the inverse operator $ \bold L^{-1}$ instead of the adjoint operator $ \bold L'$, the three goals discussed at the beginning of the section can be achieved. The testing of this theory is the focus of our current research.


next up previous [pdf]

Next: Conclusion Up: Wong et al.: Ocean Previous: Artifacts in Ocean-Bottom RTM

2009-10-19