Next: About this document ...
Up: Jedlicka: Velocity analysis by
Previous: APPENDIX C
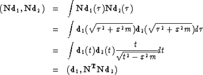
Let us denote
the NMO operator and
its transpose operator.
The matrix
is diagonal for nearest neighbor interpolation (Claerbout, 1989).
To see how the coefficients of the diagonal of
look like, let us
compute the operator
in the continuous domain.
For any traces
and
it holds
|  |
(41) |
| (42) |
| (43) |
| (44) |
so that we have
|  |
(45) |
Next: About this document ...
Up: Jedlicka: Velocity analysis by
Previous: APPENDIX C
Stanford Exploration Project
1/13/1998