Next: IMPLEMENTATION FOR LATERAL VELOCITY
Up: Lin: Prestack PSPI
Previous: SLANT STACK TRANSFORMATION
According to Ottolini 1982, the DSR equation for the
downward continuation of common midpoint slant stack is
| ![\begin{displaymath}
{\partial u \over \partial z }
= {{-i\omega \over v} \left[\sqrt{1-(Y+pv)^{2}}+\sqrt{1-(Y-pv)^{2}}\right ]U}\end{displaymath}](img7.gif) |
(2) |
where

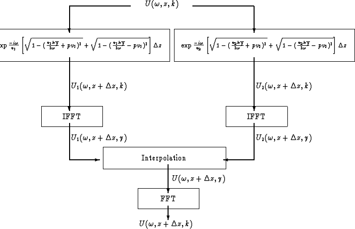
The solution of equation (2) is
| ![\begin{displaymath}
U(\omega,z+\Delta z,k)=U(\omega,z,k){\exp \left\{{ {-i\omega...
...1-({vk_{y} \over 2\omega}-pv)^{2}}\right ]\Delta z} \right \} }\end{displaymath}](img9.gif) |
(3) |
We can use this equation to obtain the wave extrapolation for constant
velocity. Velocity variations in depth are easily accommodated by
varying the velocity v with depth z in equation (3).
*2cm
dum
Figure 1 Computational flow chart of prestack slant stack
migration with one-pass PSPI.
Next: IMPLEMENTATION FOR LATERAL VELOCITY
Up: Lin: Prestack PSPI
Previous: SLANT STACK TRANSFORMATION
Stanford Exploration Project
11/17/1997