previous up next print clean
Next: THE STOLT METHOD Up: Wide-angle migration methods Previous: Hyperbola summation refined into

THE PHASE-SHIFT METHOD

The phase-shift method proceeds straightforwardly by extrapolating downward with $\exp ( i k_z z )$ and subsequently evaluating the wavefield at t = 0 (the reflectors explode at t=0). Of all the wide-angle methods it most easily incorporates depth variation in velocity. Even the phase angle and obliquity function are correctly included, automatically. Unlike Kirchhoff methods, with this method there is no danger of aliasing the operator.

The phase-shift method begins with a two-dimensional Fourier transform (2D-FT) of the dataset. Then the transformed data values, all in the $( \omega , k_x )$-plane, are downward continued to a depth $ \Delta z $ by multiplying by  
 \begin{displaymath}
e^{ i\,k_z \Delta z }
\quad =\quad
\exp \left\{ \ - \ i \, {...
 ... \left( { v\,k_x \over \omega } \right)^2 }
\ \Delta z \right\}\end{displaymath} (20)
Ordinarily the time-sample interval $ \Delta \tau $ for the output-migrated section is chosen equal to the time-sample rate of the input data (often 4 milliseconds). Thus, choosing the depth $ \Delta z = v \Delta \tau $,the downward-extrapolation operator for a single time unit is  
 \begin{displaymath}
C\quad =\quad
\exp \left\{ \ - \,i \, \omega \ \Delta \tau\,...
 ...
1 \ -\ \left( { v\,k_x \over \omega } \right)^2 }
\ \ \right\}\end{displaymath} (21)
Data will be multiplied many times by C, thereby downward continuing it by many steps of $ \Delta \tau $.

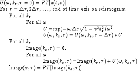
Next is the task of imaging. At each depth an inverse Fourier transform is followed by selection of its value at t = 0. (Reflectors explode at t=0). Luckily, only the Fourier transform at one point, t = 0, is needed, so that is all that need be computed. The computation is especially easy since the value at t = 0 is merely a summation of each $\omega$ frequency component. (This may be seen by substituting t=0 into the inverse Fourier integral). Finally, inverse Fourier transform kx to x. The migration process, computing the image from the upcoming wave u, may be summarized in the following pseudo code:

\begin{displaymath}
\vbox{
\begin{tabbing}
 $U(\omega, k_x, \tau = 0) = FT[u(t, ...
 ... gt image$(x, \tau) = FT[$Image$(k_x, \tau)]$ \\ \end{tabbing}}\end{displaymath}

This pseudo code Fourier transforms a wavefield observed at the earth's surface $\tau =0$,and then it marches that wavefield down into the earth ($\tau\gt$)filling up a three-dimensional function, $U(\omega, k_x, \tau)$.Then it selects t=0, the time of the exploding reflectors by summing over all frequencies $\omega$.(Mathematically, this resembles finding the signal at $\omega =0$ by summing over all t).

Turning from pseudocode to real code, an important practical reality is that computer memories are not big enough for the three-dimensional function $U(\omega, k_x, \tau)$.But it is easy to intertwine the downward continuation with the summation over $\omega$so a three-dimensional function need not be kept in memory. This is done in the real code in subroutine phasemig().  

subroutine phasemig( u, nt, nx, dt, dx, image, ntau, dtau, v)
integer nt,nw,nx,ntau, iw,ikx,itau
real    dt,dx, w,w0,dw, kx,kx0,dkx,dtau, kzkz, v, sig1,sig2,pi, signum
complex u(nt,nx), image(ntau,nx), c
                        pi = 3.14159265;        sig1 =+1.;  sig2 =-1.
call ft1axis( 0, sig1, nt, nx, u)   
call ft2axis( 0, sig2, nt, nx, u)

w0 = -pi/dt; dw = 2.*pi/(nt*dt); nw = nt kx0 = -pi/dx; dkx= 2.*pi/(nx*dx)

call zero( ntau*nx, image) do itau = 1, ntau { do ikx = 2, nx { kx = kx0 + (ikx-1) * dkx do iw = 2, nw { w = w0 + (iw-1) * dw kzkz = w*w - v*v * kx*kx if (kzkz >0) { c = cexp(cmplx(0., -signum(w)*dtau*sqrt(kzkz))) } else { c = 0. } u(iw,ikx) = u(iw,ikx) * c image(itau,ikx) = image(itau,ikx) + u(iw,ikx) }}} call ft2axis( 1, sig2, ntau, nx, image) return; end

An aspect of the computation that was hidden in the pseudo code that you can see in the real code is that we must also handle negative frequencies. When doing so, we use the signum function $\sgn(\omega ) =\omega /\vert\omega \vert$ to choose the sign of kz so that the sign of kz is always opposite that of $\omega$.

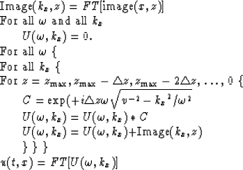
Inverse migration (modeling) proceeds in much the same way. Beginning from an upcoming wave that is zero at great depth, the wave is marched upward in steps by multiplication with $\exp ( i \, k_z \, \Delta \, z )$.As each level in the earth is passed, exploding reflectors from that level are added into the upcoming wave. Pseudo code for modeling the upcoming wave u is

\begin{displaymath}
\vbox{
\begin{tabbing}
Image$(k_x, z) = FT[$image$(x, z)]$ \...
 ...gt \} \} \} \\ $u(t, x) = FT[U(\omega, k_x)]$ \\ \end{tabbing}}\end{displaymath}

Some real code for this job is in subroutine phasemod().  

subroutine phasemod( image, nz, nx, dz, dx, u, nt, dt, v)
integer nt,nw,nx,nz, iw,ikx,iz
real    dt,dx,dz, w,w0,dw, kx,kx0,dkx, kzkz, v, sig1,sig2,pi, signum
complex u(nt,nx), image(nz,nx), c
                pi = 3.14159265;        sig1=+1.;       sig2=-1.
call ft2axis( 0, sig2, nz, nx, image)

w0 = -pi/dt; dw = 2.*pi/(nt*dt); nw = nt kx0 = -pi/dx; dkx= 2.*pi/(nx*dx) call zero( nw*nx, u) do iw = 2, nw { w = w0 + (iw-1) * dw do ikx = 2, nx { kx = kx0 + (ikx-1) * dkx do iz = nz, 1, -1 { kzkz = w*w - (v*v) * kx*kx if (kzkz >0) { c = cexp(cmplx(0., signum(w)*dz*sqrt(kzkz))) } else { c = 0. } u(iw,ikx) = u(iw,ikx) * c u(iw,ikx) = u(iw,ikx) + image(iz,ikx) }}} call ft1axis( 1, sig1, nt, nx, u) call ft2axis( 1, sig2, nt, nx, u) return; end

The positive sign in the complex exponential is a combination of two negatives, the up coming wave and the upward extrapolation. The three loops on $\omega$, kx, and z are interchangeable. When the velocity v is a constant function of depth the program can be speeded by moving the computation of the complex exponential C out of the inner loop on z.


previous up next print clean
Next: THE STOLT METHOD Up: Wide-angle migration methods Previous: Hyperbola summation refined into
Stanford Exploration Project
10/31/1997