next up previous print clean
Next: Processing Up: Mora: AVA in angle Previous: Introduction

Synthetic data

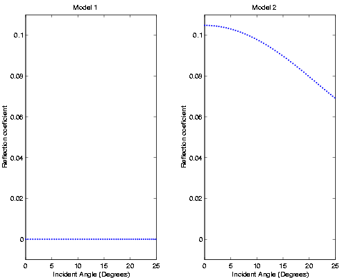
I generated two synthetic data sets assuming an earth model that includes two flat layers with constant elastic properties on each layer. In model 1, I chose the same elastic properties for both the overlaying and the underlying layer, which results in no AVA effect along the interface. In model 2, I chose rock properties corresponding to velocity and density contrast in the underlying layer which leads to an AVA effect of decreasing amplitudes with increasing angle on incidence. Figure 1 shows the expected P-wave reflection coefficient corresponding to model 1 and model 2, calculated using Zoeppritz equations.

 
Zoeppritz
Zoeppritz
Figure 1
P-wave reflection coefficient from Zoeppritz equations for model 1 (left) and model 2 (right).
view burn build edit restore

The modeling was done using a ray tracing approach to get the timing of the event and using the exact Zoeppritz equations to set the amplitude values. Figure 2 shows the picked amplitudes for the resulting modeled data.

 
avo_data
avo_data
Figure 2
Picked amplitudes at the flat reflector for the resulting modeled data for model 1 (left) and model 2 (right).
view burn build edit restore


next up previous print clean
Next: Processing Up: Mora: AVA in angle Previous: Introduction
Stanford Exploration Project
4/29/2001