Next: Derivation of Snell Resampling
Up: Least-squares joint imaging of
Previous: Conclusions on the 3-D
HEMNO Equivalence with Levin and Shah's Equations
In this appendix, I prove that the HEMNO equation is equivalent to Levin and
Shah's traveltime equation Levin and Shah (1977) in the limit of small dip
angle. They show that in a constant velocity medium with dipping target
reflector and multiple generator, the moveout equation of the ``S102G'' pegleg
multiple (see Figure
) is:
| ![\begin{displaymath}
t^2 = \left[\tau^* \cos{\theta} + \tau \cos{\phi}\right]^2
...
...+\theta)}}{V} - \tau^* \sin{\theta} - \tau \sin{\phi}\right]^2,\end{displaymath}](img148.gif) |
(39) |
where
and
are the dip angle (in radians) of the multiple
generator and target reflector, respectively.
and
are the
zero-offset traveltimes to the two reflectors, x is offset, and V is the
medium velocity. For small dip angles (i.e., less than 5 degrees), we can make
the small angle approximation for angles
,
, and
to
update equation (
) accordingly:
| ![\begin{displaymath}
t^2 = \left[\tau^* + \tau \right]^2
+ \left[\frac{x}{V} - \tau^* \theta - \tau \phi\right]^2.\end{displaymath}](img151.gif) |
(40) |
Multiplying out the squares in equation (
) and collecting
terms gives:
| ![\begin{displaymath}
t^2 = \left[\tau^* + \tau \right]^2 + \frac{x^2}{V^2}
- 2\...
... - 2\frac{\phi \tau x}{V}
+ (\tau^* \theta)^2 + (\tau \phi)^2.\end{displaymath}](img152.gif) |
(41) |
The
and
terms are negligible for small angles, so we can
ignore these terms and further simplify equation (
):
| ![\begin{displaymath}
t^2 = \left[\tau^* + \tau \right]^2 + \frac{x^2}{V^2}
- 2\frac{ (\theta \tau^* + \phi \tau) x }{V}.\end{displaymath}](img155.gif) |
(42) |
I will now show that the HEMNO equation (
) is equivalent to the
Levin/Shah equation (
) under the constant velocity and small
dip angle assumptions. First I make some preliminary definitions. In a
constant-velocity medium, the expression for xp, equation (
),
simplifies to:
|  |
(43) |
Then x-xp, which will be needed later, simplifies to:
|  |
(44) |
Since the reflectors in this derivation are assumed planar and the velocity is
assumed constant, using equations (
) and (
), we can
directly write the (two-way) zero offset traveltime to the seabed and subsea
reflection at any midpoint as a function of the corresponding zero-offset
traveltimes at the midpoint location, y0:
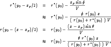
|  |
|
| (45) |
| |
| (46) |
where the small angle approximation was employed as before. Substituting the
zero-offset traveltimes (
) and (
) into the
HEMNO equation (
) yields:
|  |
(47) |
| (48) |
Equation (
) is equivalent to equation
(
). Therefore, we have proven the equivalence of the
moveout equations of the true and approximate raypaths shown in Figure
, subject to the small dip angle approximation. As
before,
and
terms were dropped in going from equation
(
) to equation (
). Although explicit
seabed and subsea reflector dip angles,
and
, are contained in
equation (
), they were introduced only to show equivalence
to equation (
). Locally-planar reflectors are not
required to implement equation (
).
Next: Derivation of Snell Resampling
Up: Least-squares joint imaging of
Previous: Conclusions on the 3-D
Stanford Exploration Project
5/30/2004