next up previous print clean
Next: ISOTROPIC HETEROGENEITY VERSUS ANELLIPTIC Up: Fomel: Stolt stretch Previous: STOLT STRETCH THEORY

EVALUATING THE W PARAMETER AND STOLT STRETCH ACCURACY

Formula (11) belongs to the three-parameter class of traveltime approximations. The key result of this paper uses a remarkable formal similarity between (11) and Malovichko's approximation for the reflection traveltime curve in vertically inhomogeneous media Castle (1988); Malovichko (1978); de Bazelaire (1988) defined by  
 \begin{displaymath}
t_0=
\left(1-{1\over {S\left(t_v\right)}}\right) \,t_v+
{1\o...
 ...{{\left(x-x_0\right)^2} \over {v_{rms}^2\left(t_v\right)}}}}\;,\end{displaymath} (13)
where vrms stands for the effective (root mean square) velocity along the vertical ray  
 \begin{displaymath}
v_{rms}^2\left(t_v\right)={\eta(z)\over t_v}=
{1 \over t_v}\,\int_{0}^{t_v} v^2 \,dt_v\;,\end{displaymath} (14)
and S is the parameter of heterogeneity:  
 \begin{displaymath}
S\left(t_v\right)={1 \over{v_{rms}^4 t_v}}\,\int_{0}^{t_v} v^4 \,dt_v\;.\end{displaymath} (15)
In terms of the S parameter, the variance of the squared velocity distribution along the vertical ray is  
 \begin{displaymath}
\sigma^2={1 \over t_v}\,\int_{0}^{t_v} v^4 \,dt_v - v_{rms}^4=v_{rms}^4 (S-1)\;.\end{displaymath} (16)
As follows from equality (16), $S\geq 1$ for any type of velocity distribution (S equals 1 in a constant velocity case). For most of the distributions occurring in practice, S ranges between 1 and 2.

Malovichko's formula (13) is known as the most accurate three-parameter approximation of the NMO curve in vertically inhomogeneous media. Since reflection from a horizontal reflector in that class of media is kinematically equivalent to diffraction from a point, formula (13) can be similarly regarded as an approximation of the summation path of the post-stack Kirchhoff-type migration operator. In this case, it has the same meaning as formula (11). An important difference between the two formulae is the fact that equation (13) is written in the initial coordinate system and includes coefficients varying with depth, while equation (11) applies the transformed coordinate system and constant coefficients. Using this fact, the rest of this section compares the accuracy of the approximations and relates Stolt's W factor to Malovichko's parameter of heterogeneity.

Equations (11) and (13) both approximate the traveltime curve in the neighborhood of the vertical ray. Therefore, to compare their accuracy, it is appropriate to consider series expansion of the diffraction traveltime in the vicinity of the vertical ray[*]:  
 \begin{displaymath}
t_0(l)={\left.t_0\right\vert _{l=0}}+
{1 \over 2}\,{\left.{d...
 ...\,{\left.{d^4t_0}\over {dl^4}\right\vert _{l=0}}l^4+\cdots\;\;,\end{displaymath} (17)
where l=x-x0. Expansion (17) contains only even powers of l because of the obvious symmetry of t0 as a function of l.

The special choice of parameters tv, vrms, and S allows Malovichko's formula (13) to provide correct values for the first three terms of expansion (17):
         \begin{eqnarray}
\left.t_0\right\vert _{l=0} & = & t_v\;;
\\ \left.{d^2t_0}\over...
 ...\,S\left(t_v\right)} \over {t_v^3 v_{rms}^4\left(t_v\right)}}\;\;.\end{eqnarray} (18)
(19)
(20)
Considering Levin's formula (11) as an implicit definition of the function $t_0\left(t_v\right)$, we can iteratively differentiate it following the rules of calculus:
\begin{eqnarraystar}
\left.{ds}\over {dl}\right\vert _{l=0} = 
\left. s'\left(t_0\right)\,{{dt_0}\over {dl}}\right\vert _{l=0} = 0\;;\end{eqnarraystar}
 
 \begin{displaymath}
\left.{d^2s}\over {dl^2}\right\vert _{l=0} = 
\left.\left(s'...
 ...}}\right\vert _{l=0} = 
{1\over {v_0^2 \,s\left(t_v\right)}}\;;\end{displaymath} (21)
\begin{eqnarraystar}
\left.{d^3s}\over {dl^3}\right\vert _{l=0} = 
\left.\left(3...
 ...\,\left({dt_0}\over {dl}\right)^3\right)\right\vert _{l=0} = 0\end{eqnarraystar}
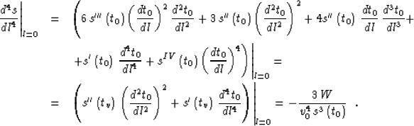
   \begin{eqnarray}
\left.{d^4s}\over {dl^4}\right\vert _{l=0} & = &
\left(6\,s'''\...
 ...\vert _{l=0} = 
-{{3\,W} \over {v_0^4 \,s^3\left(t_0\right)}}\;\;.\end{eqnarray}
(22)
Substituting the definition of Stolt stretch transform (5) into (21) produces an equality similar to (19), which means that approximation (11) is theoretically accurate in depth-varying velocity media up to the second term in (17). It is this remarkable property that proves the validity of the Stolt stretch method Claerbout (1985); Levin (1983). Formula (11) will be accurate up to the third term if the value of the fourth-order traveltime derivative in (22) coincides with (20). Substituting equation (20) into (22) transforms the latter to the form  
 \begin{displaymath}
{{1-W}\over {v_0^2\,s^2\left(t_v\right)}}=
{{v^2\left(t_v\ri...
 ...2\left(t_v\right)} \over
{v_{rms}^4\left(t_v\right)\,t_v^2}}\;.\end{displaymath} (23)
It is now easy to derive from equation (23) the desired explicit expression for the Stolt stretch parameter W, as follows:  
 \begin{displaymath}
W=1-{{v_0^2\,s^2\left(t_v\right)} \over{v_{rms}^2\left(t_v\r...
 ...er {v_{rms}^2\left(t_v\right)}}
-S\left(t_v\right)
\right)\;\;.\end{displaymath} (24)

Expression (24) is derived so as to provide the best possible value of W for a given depth (vertical time tv). To get a constant value for a range of depths one should take an average of the right hand side of (24) in that range. The error associated with Stolt stretch can be approximately estimated from (17) as the difference between the fourth-order terms:  
 \begin{displaymath}
\delta={{l^4 \over 8}\,{{W\left(t_v\right)-W} \over 
{t_v s^2\left(t_v\right) v_{rms}^2\left(t_v\right) v_0^2}}}\;,\end{displaymath} (25)
where $W\left(t_v\right)$ is the right-hand side of (24), and W is the constant value of W chosen for Stolt migration.

To estimate the best possible accuracy that the Stolt stretch method can achieve, we must take into account the sixth-order term in (17) related to the sixth-order derivative of the traveltime curve. For the true traveltime curve, the expression for the sixth-order derivative in the vicinity of the vertical ray is known from the literature Bolshyh (1956); Taner and Koehler (1969) to be  
 \begin{displaymath}
\left.{d^6t_0}\over {dl^6}\right\vert _{l=0} = 
{{45} \over ...
 ...{rms}^6\left(t_v\right)}}\,
\int_0^{t_v} v^6 \,dt_v\right)\;\;.\end{displaymath} (26)
First, let us estimate the error of Malovichko's approximation (13). Differentiating (13) six times and setting the offset l to zero yields  
 \begin{displaymath}
\left.{d^6t_0}\over {dl^6}\right\vert _{l=0} = 
{{45\,S^2\left(t_v\right)} \over {t_v^5\, v_{rms}^6}}\;.\end{displaymath} (27)
The estimated error is proportional to the difference between (27) and (26):  
 \begin{displaymath}
\delta_M={{l^6} \over {6!}}\,\left[
{{45} \over {t_v^5\, v_{...
 ...,
\int_0^{t_v} v^6 \,dt_v-S^2\left(t_v\right)
\right)\right]\;.\end{displaymath} (28)
It is interesting to note that replacing the parameter of heterogeneity S by its definition (15) changes the expression in the round brackets to the following form:  
 \begin{displaymath}
{1 \over {t_v \,v_{rms}^6}}\,
\int_0^{t_v} v^6 \,dt_v-S^2=
{...
 ...v^6 \,dt_v}-
\left({\int_0^{t_v} v^4 \,dt_v}\right)^2\right)\;.\end{displaymath} (29)
According to the Schwarz inequality from calculus ( also known as the Cauchy-Bunyakovski inequality), the value of expression (29) can never be less than zero; hence $\delta_M\geq 0$ for any velocity distribution. This conclusion indicates that Malovichko's approximation tends to increase the traveltime at large offsets beyond its true value.

Differentiating (22) twice and eliminating terms that vanish at l=0 produces
   \begin{eqnarray}
\left.{d^6s}\over {dl^6}\right\vert _{l=0} & = &
\left.\left(15...
 ...number \\ & = & {{45\,W^2} \over {s\left(t_v\right)^5\, v_0^6}}\;.\end{eqnarray}
(30)
Evaluating the sixth-order traveltime derivative from (30) and subtracting (26), we get a somewhat lengthy but explicit expression for the error associated with Stolt stretch approximation in the case of the best possible choice of W:
\begin{eqnarraystar}
\delta_L = \delta_M +\end{eqnarraystar}
 
 \begin{displaymath}
+ {l^6 \over 6!}\,\left[
{{45\, \left( 1-W \right) } \over 
...
 ..._v\right)} \over
{t_v^4\,v_{rms}^8\left(t_v\right)}}
\right]\;.\end{displaymath} (31)


next up previous print clean
Next: ISOTROPIC HETEROGENEITY VERSUS ANELLIPTIC Up: Fomel: Stolt stretch Previous: STOLT STRETCH THEORY
Stanford Exploration Project
4/19/2000